能源发展作为核心竞争力一直居于国家战略地位,“十四五”规划高度重视再生能源发展,提出能源发展新要求。可再生能源以太阳能为最具发展潜力的方向之一。近年来,有机无机卤化物钙钛矿型太阳能薄膜电池由于其出色的转化效率得到了快速的发展。但卤化物钙钛矿通常含有毒性元素Pb,对生态环境与生命健康危害较大,而且该材料对水分和温度较为敏感。基于此,国内外研究者尝试以无机硫属化物作为替代材料研究其太阳能转化性能,其中钡锆硫化物( )因具有出色的可见光吸收和高化学稳定性而备受关注,然而,这种薄膜加工通常在1000℃以上的高温,限制了相关器件的开发。
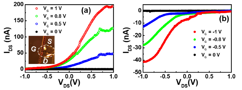
近日西安交通大学胜游体育(SYsports)官方网站入口杨森教授团队与纽约州立大学布法罗分校曾浩教授团队合作,在500 ℃下成功合成了 薄膜以及相关光电探测器和场效应晶体管。该薄膜表面粗糙度仅为0.6 nm,且去除了高温处理带来的的硫空位和碳污染。以其为核心材料的光电探测器显示出了极快的光电响应速度(0.3 ms)和较高的开/关比(80)。场效应晶体管表现出双极性行为,其中电子和空穴迁移率分别为16.8 / Vs和2.6 / Vs,这些都为硫族化物钙钛矿薄膜在光电器件中的进一步应用打下了坚实的基础。
该研究以“Chalcogenide perovskite thin-film electronic and optoelectronic devices by low temperature processing“为题发表在国际期刊Nano Energy(影响因子16.6)上,论文的第一作者为西安交通大学胜游体育(SYsports)官方网站入口博士生于忠海,西安交通大学胜游体育(SYsports)官方网站入口为第一单位,通讯作者为杨森教授和曾浩教授,该研究获得了国家自然科学基金和陕西省重点科技创新团队的支持。
西安交通大学胜游体育(SYsports)官方网站入口新型功能材料研究组(NFMG)以杨森教授为团队带头人,现有教授3人,副教授6人,助理教授3人。团队积极响应习近平总书记面向世界科技前沿、面向经历主战场、面向国家重大需求的号召,在铁性材料、纳米功能材料、新型能源材料等方向开展了深入研究。近年来,课题组在Phys. Rev. Lett、Nat. Nanotechnol、JACS、Adv. Sci等期刊发表学术论文多篇,获得国家自然科学二等奖等多项省部级奖项。


论文链接:https://doi.org/10.1016/j.nanoen.2021.105959